風邪がひどくてPLを処方されました

今日の午後は病院の内科に行って風邪を相談したらPLと咳止めや喉の薬を処方して貰いました


昨日は祝日だった事もあり辛かったのですが何とか乗り切りました。


こんな時ってタバコを吸っている方が気になって副流煙を吸いたくないと思います。


昨日は風邪を改善させようとニンニクとレバーを食べてました。


明日もニンニク食べようと思います。

関連銘柄
塩野義
8件のコメントがあります
1~8件 / 全8件

ちこさん、こんばんは。鼻かぜと喉風邪でした。

連日布団の中で過ごしてましたが今日は銭湯に行って来ました。


おはようございます。


鼻かぜでしたか・・・。

漢方ならすぐに治るのですが・・・。

「小青竜湯」と言うお薬です。


花粉症にも効くので、花粉の季節には時々用いています。


ちこさん、こんにちは。
私の風邪は鼻かぜです、熱は測って無いのですが。
ビタミンcはキレートレモンの飲料水を寝る前に飲みました。
クエン酸3000mgビタミンc1000mg飲んで休みましたので
少しは今日は体は楽です。

こんばんは。


風邪が流行っているようです。

私もやられてしまいました(汗)


充分な水分とビタミンC・・・。

熱の風邪ならそれで治りますが、喉の風邪なら大根と蜂蜜でしょうか。


大根を賽の目に切って器に入れる。

そこに蜂蜜をかけ、しばらく置く。

大根の汁と蜂蜜の合わさったものを飲む。

どうぞ、やってみてください(^^)


minoQさん、こんばんは。

確認する事は良い事です。

私は風邪を治すのに必死です。

こんばんは。nyajyaraさん。

私が移されたのは拗れた風邪だった様です。

今日一日布団に入って寝てましたが起きてると

パソコン見てるだけで辛くなって来ます。

(退会済み)
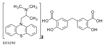
PL顆粒。
シオノギ製薬ですね。
主成分の一つがPromethazine methylenedisalicylate。
他にSalicylamide、Acetaminophen、Anhydrous caffeineも主成分。
昔からの癖で、化学物質名が出てくるとついつい分子構造を確認したくなってしまいます。
nyajyaraさん

こんばんは。


こちらは、逆にやっとPL顆粒とケフラ―ルで治りました。


風邪は体力との勝負です。

栄養つけて、身体を温めて、ゆっくりお休みください。



I SAY企画プロダクションさんのブログ一覧