2,395円
キリンホールディングスのニュース
~コロナ禍収束による経済回復が進み、総消費量は前年よりやや増加~
キリンホールディングス株式会社(社長COO 南方健志)は、世界各国のビール協会などに対して独自に実施したアンケート調査と最新の海外資料に基づき、計170の世界主要国および各地域における2023年のビール消費量をまとめました。この調査は1975年分から統計を開始しています。

2023年の世界のビール総消費量は、前年より約20万kl(大びん633ml換算で約3億本)増え、約1億8,793万kl(前年比0.1%増、大びん633ml換算で約2,969億本)となりました。東京ドームをジョッキに見立てると、約152杯分(東京ドーム1杯は約124万kl)に相当します。
1.国別ビール消費量(表1)
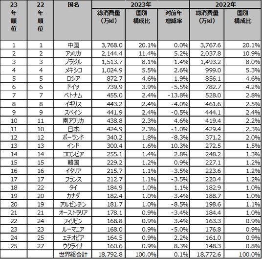
・中国(前年比0.0%)が2003年から21年連続で1位となりました。
・日本(前年比1.0%減)は2020年まで14年間7位でしたが、2021年8位、2022年10位、
2023年は11位となりました。
・タイ(前年比1.1%増)は6年ぶりに20位圏内に上昇し、18位となりました。
2.地域別ビール消費量(表2)
・16年連続トップのアジア(前年比0.6%減)は、ベトナム(前年比13.8%減)、日本(前年
比1.0%減)などが減少し、前年減になりました。
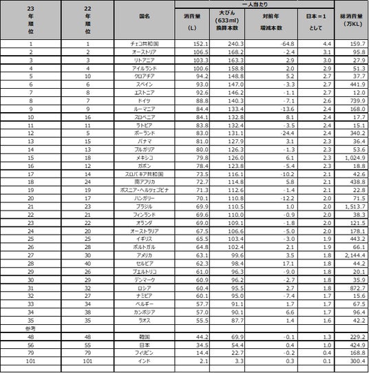
3.国別一人当たりビール消費量(表3)
・チェコ共和国が152.1Lで、1993年から31年連続で1位となりました。
・クロアチアは、前年10位から5位へと順位を大きく上げました。一方、前年5位だったポーラ
ンドは12位へと大きく順位を落としました。
・日本は34.5L、大びん633ml換算で約54.4本(前年+0.4本)と前年増になりました。
キリングループは、自然と人を見つめるものづくりで、「食と健康」の新たなよろこびを広げ、こころ豊かな社会の実現に貢献します。
出典: ・各国ビール協会などへのアンケート調査 (当社が実施したもの)
・BarthHaas-Report-2023-2024 (BARTH−HAAS GROUP)
・Beer Market Data Extract 2024 (GlobalData Plc)
※調査期間:2023年1~12月
※2013年度以降、調査データ会社を変更したため、過去レポートと数値が合致しないこともある
・2022年、2023年の日本の消費量は株式会社醸造産業新聞社の推計による
※日本の消費量については、ビール、発泡酒、発泡酒2.の合計
注:・四捨五入のため、数値が必ずしも一致しない場合がある
・前年実績が今年の調査で変更になった国については、変更した数値で前年比を算出している
※前年の世界総消費量も最新の値に変更している(1億9,210万kl ⇒ 1億8,773万klへ変更)
(表1) 2023年 国別ビール消費量

【解説】
・ 世界の総消費量は、約1億8,793万kl。ロシア・ウクライナ侵攻の長期戦など、世界情勢が安定しない中ではあったものの、世界各国でコロナ禍収束が進み、経済回復が起因したことで前年比0.1%増となった。
・ 中国(前年比0.0%)は21年連続で1位となった。上位5カ国がいずれも前年増となり、総消費量の引き上げをけん引した。
・ タイ(前年比1.1%増)は6年ぶりに、20位圏内に上昇し、18位となった(2017年15位)。
(表2) 2023年 地域別ビール消費量


【解説】
・ 地域別では、アジアの構成比が32.0%と、16年連続で1位。
・ 1位のアジア(前年比0.6%減)は、ベトナム(前年比13.8%減)、日本(前年比1.0%減)などが減少し、前年を下回った。
・ 2位のヨーロッパ(前年比2.9%減)は、ロシア(前年比1.9%増)、ウクライナ(前年比8.3%増)などが増加となるも、ドイツ(前年比5.5%減)、イギリス(前年比4.0%減)などが減少し、前年を下回った。
・ 3位の中南米(前年比1.7%増)は、ブラジル(前年比1.4%増)、メキシコ(前年比2.6%増)などが増加し、前年を上回った。
・ 4位の北米(前年比4.5%増)は、アメリカ(前年比5.2%増)の増加がけん引し、前年を上回った。
(表3)2023年 国別一人当たりビール消費量

【解説】
・ チェコ共和国※は31年連続で1位となった。
・ クロアチア、スロベニア、南アフリカ、セルビアの4カ国が、前年より5位以上順位を上げ、急伸長した。
・ 前年5位だったポーランドは12位へと大きく順位を落とした。
※データの参照先の変更により、対前年増減本数は大きく乖離している
キリンホールディングス株式会社(社長COO 南方健志)は、世界各国のビール協会などに対して独自に実施したアンケート調査と最新の海外資料に基づき、計170の世界主要国および各地域における2023年のビール消費量をまとめました。この調査は1975年分から統計を開始しています。

2023年の世界のビール総消費量は、前年より約20万kl(大びん633ml換算で約3億本)増え、約1億8,793万kl(前年比0.1%増、大びん633ml換算で約2,969億本)となりました。東京ドームをジョッキに見立てると、約152杯分(東京ドーム1杯は約124万kl)に相当します。
1.国別ビール消費量(表1)
・中国(前年比0.0%)が2003年から21年連続で1位となりました。
・日本(前年比1.0%減)は2020年まで14年間7位でしたが、2021年8位、2022年10位、
2023年は11位となりました。
・タイ(前年比1.1%増)は6年ぶりに20位圏内に上昇し、18位となりました。
2.地域別ビール消費量(表2)
・16年連続トップのアジア(前年比0.6%減)は、ベトナム(前年比13.8%減)、日本(前年
比1.0%減)などが減少し、前年減になりました。
3.国別一人当たりビール消費量(表3)
・チェコ共和国が152.1Lで、1993年から31年連続で1位となりました。
・クロアチアは、前年10位から5位へと順位を大きく上げました。一方、前年5位だったポーラ
ンドは12位へと大きく順位を落としました。
・日本は34.5L、大びん633ml換算で約54.4本(前年+0.4本)と前年増になりました。
キリングループは、自然と人を見つめるものづくりで、「食と健康」の新たなよろこびを広げ、こころ豊かな社会の実現に貢献します。
出典: ・各国ビール協会などへのアンケート調査 (当社が実施したもの)
・BarthHaas-Report-2023-2024 (BARTH−HAAS GROUP)
・Beer Market Data Extract 2024 (GlobalData Plc)
※調査期間:2023年1~12月
※2013年度以降、調査データ会社を変更したため、過去レポートと数値が合致しないこともある
・2022年、2023年の日本の消費量は株式会社醸造産業新聞社の推計による
※日本の消費量については、ビール、発泡酒、発泡酒2.の合計
注:・四捨五入のため、数値が必ずしも一致しない場合がある
・前年実績が今年の調査で変更になった国については、変更した数値で前年比を算出している
※前年の世界総消費量も最新の値に変更している(1億9,210万kl ⇒ 1億8,773万klへ変更)
(表1) 2023年 国別ビール消費量

【解説】
・ 世界の総消費量は、約1億8,793万kl。ロシア・ウクライナ侵攻の長期戦など、世界情勢が安定しない中ではあったものの、世界各国でコロナ禍収束が進み、経済回復が起因したことで前年比0.1%増となった。
・ 中国(前年比0.0%)は21年連続で1位となった。上位5カ国がいずれも前年増となり、総消費量の引き上げをけん引した。
・ タイ(前年比1.1%増)は6年ぶりに、20位圏内に上昇し、18位となった(2017年15位)。
(表2) 2023年 地域別ビール消費量


【解説】
・ 地域別では、アジアの構成比が32.0%と、16年連続で1位。
・ 1位のアジア(前年比0.6%減)は、ベトナム(前年比13.8%減)、日本(前年比1.0%減)などが減少し、前年を下回った。
・ 2位のヨーロッパ(前年比2.9%減)は、ロシア(前年比1.9%増)、ウクライナ(前年比8.3%増)などが増加となるも、ドイツ(前年比5.5%減)、イギリス(前年比4.0%減)などが減少し、前年を下回った。
・ 3位の中南米(前年比1.7%増)は、ブラジル(前年比1.4%増)、メキシコ(前年比2.6%増)などが増加し、前年を上回った。
・ 4位の北米(前年比4.5%増)は、アメリカ(前年比5.2%増)の増加がけん引し、前年を上回った。
(表3)2023年 国別一人当たりビール消費量

【解説】
・ チェコ共和国※は31年連続で1位となった。
・ クロアチア、スロベニア、南アフリカ、セルビアの4カ国が、前年より5位以上順位を上げ、急伸長した。
・ 前年5位だったポーランドは12位へと大きく順位を落とした。
※データの参照先の変更により、対前年増減本数は大きく乖離している
この銘柄の最新ニュース
キリンHDのニュース一覧- 今週の【早わかり株式市況】続伸、日米金融政策を手がかりに荒い値動き 2025/12/06
- 日経平均寄与度ランキング(大引け)~日経平均は大幅に3日続伸、ソフトバンクGやファーストリテが2銘柄で約428円分押上 2025/12/04
- 日経平均寄与度ランキング(前引け)~日経平均は大幅に3日続伸、ソフトバンクGが1銘柄で約239円分押し上げ 2025/12/04
- 前場に注目すべき3つのポイント~5万円回復を想定した押し目買い意欲は強い~ 2025/11/27
- 日経平均寄与度ランキング(大引け)~日経平均は大幅に3日続落、ソフトバンクGやアドバンテストが2銘柄で約502円分押下 2025/11/18
マーケットニュース
おすすめ条件でスクリーニングされた銘柄を見る
キリンホールディングスの取引履歴を振り返りませんか?
キリンホールディングスの株を取引したことがありますか?みんかぶアセットプランナーに取引口座を連携すると売買履歴をチャート上にプロットし、自分の取引を視覚的に確認することができます。
アセットプランナーの取引履歴機能とは
※アセプラを初めてご利用の場合は会員登録からお手続き下さい。